We look for motivated bachelor, master or PhD students to work with us. If you are interested, please email us
Experimental Condensed Matter Physics
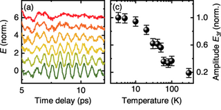
Novel quantum states arise in correlated condensed matter systems due to strong interactions of spin, charge, orbital, and lattice degrees of freedom. The research topic of my group focuses on the study of quantum phenomena governed by many-body interactions in strongly correlated quantum materials. Various optical spectroscopies are used to study dynamical responses of equilibrium and optically driven non-equilibrium states in quantum materials, e.g. quantum magnets and superconductors, under tunable external conditions such as temperature and magnetic field. Our goal is to uncover and understand the characteristic dynamical properties for quantum states, and to coherently control these states.
Group News
Weyl fermions get wild under terahertz light

Patrick Pilch got recognition in an international conference

New Insights into the Behavior of Excitons in Semiconductors

Dr. Siyu Duan’s project of terahertz hybrid metasurfaces funded by the DFG Walter Benjamin Programme

Researchers Use Light to Read Magnetic Structures

Exotic quantum state observed

Unusual transport properties discovered in a quantum metal

